مقدمه
سندرم داون شایعترین ناهنجاری کروموزومی در نوزادان زنده متولدشده است که منجر به مشکلاتی در عملکرد ذهنی و سازگاری در زمینههای مفهومی، اجتماعی و عملی در دوران رشد و نمو میشود. اکثر کودکان مبتلا به سندرم داون دارای کمتوانی ذهنی خفیف تا متوسط هستند. این کودکان در ابعاد مختلف رشد، ازجمله حسیحرکتی، شناختی و روانیاجتماعی، با تأخیر مواجهاند. این تأخیرها باعث محدودیتهای قابلتوجه در فعالیتهایی، مانند لباس پوشیدن، غذا خوردن، تحرک کارکردی و همچنین مشارکت در نقشهای اجتماعی نظیر بازی و حضور در مدرسه میشود. بنابراین، این کودکان به مراقبت بیشتری نیاز دارند و در بیشتر موارد، مادران مسئولیت مراقبت از آنها را به عهده دارند [1، 2].
مادران ضمن تحمل فشار روحی و روانی داشتن کودک با سندرم داون، لازم است زمان بیشتری را برای مراقبت از او، ازجمله غذا دادن، رسیدگی به امور بهداشتی، نظافتی و بردن کودک به مراکز درمانی و توانبخشی اختصاص دهند. این امر باعث میشود شیوه زندگی آنها تحت تأثیر نیازهای فرزندشان قرار گیرد [3]. این تغییرات بر زندگی کل اعضای خانواده، بهویژه بر زندگی مادران تأثیرات منفی میگذارد. آنها ممکن است از رسیدگی به اهداف شخصی خود، زندگی فردی و سایر فرزندان غفلت کنند. همچنین نیازهای مراقبتی بالای این کودکان، باعث صرف زمان کمتر در فعالیتهای اجتماعی، اوقات فراغت، ورزش، امور منزل، شغل، خواب و استراحت میشود [4]. این چالشها موجب استرس شدید در مادران میشود و آنها اغلب از حمایتهای درمانی، اقتصادی و رفاهی کافی برخوردار نیستند [5] و درنتیجه سلامت روانشناختی و کیفیت زندگی پایینتری نسبت به مادران دارای کودکان با رشد طبیعی دارند [6].
کیفیت زندگی تحت تأثیر درک افراد ازنظر فرهنگ، سیستم ارزشی که در آن زندگی میکنند، اهداف، استانداردها و اولویتهایی است که کاملاً فردی بوده و برای دیگران قابلمشاهده نیست و بر درک افراد از جنبههای مختلف زندگی استوار است [7]. همچنین سلامت روان به معنای قابلیت ارتباط مناسب و هماهنگ با دیگران، اصلاح محیط فردی و اجتماعی، حل تضادها و تمایلات شخصی بهطور منطقی، عادلانه و مناسب است [8] این مؤلفهها، در والدین و بهویژه مادران کودکان مبتلا به سندرم داون در چند مطالعه [9، 10] کمتر از مادران با کودک عادی بوده است.
از سوی دیگر، اختلال در سلامت روانشناختی و کیفیت زندگی مادران، تأثیر زیادی بر روند رشد کودک و سایر اعضای خانواده دارد و ممکن است خانواده را وارد یک سیکل معیوب کند؛ بنابراین مداخلات توانبخشی و آموزشی برای حمایت مؤثر از کودکان و خانوادههایشان باید همزمان انجام شود. تحقیقات نشان دادهاند چنین مداخلاتی باید به خانواده بهعنوان یک واحد نگاه کنند و تنها بر کودک یا آسیبشناسی کودک متمرکز نشوند. مداخلات خانوادهمحور به این ویژگی توجه دارند [11].
در مداخلات خانوادهمحور، رویکرد اصلی کمک به خانوادههایی است که کودکانشان تأخیر در رشد دارند. این مداخلات به جای تمرکز بر کاستیها، بر توانمندیهای خانواده تأکید میکنند و به آنها حق تصمیمگیری بیشتری میدهند. این رویکرد به پیچیدگیهای خانواده حساس است و به اولویتهای آنها پاسخ میدهد. همچنین از رفتارهای مراقبتی که به رشد و یادگیری کودک کمک میکند، حمایت میکند [12].
یکی از انواع مداخلات خانوادهمحور، مداخلات بهنگام است. مفهوم مداخله بهنگام در ادبیات پژوهشی بهطور گستردهای مورد استفاده قرار گرفته است و همزمان به مفاهیم بیمارمحور و خانوادهمحور اشاره دارد. هدف اصلی این مداخلات، کمک به رشد آگاهی و سازگاری رشدی خانوادهها و کودکان است. این هدف ازطریق شناسایی و کاهش استرس والدین و معرفی سیستمهای حمایتی مناسب دنبال میشود. فرض اصلی مداخله بهنگام این است که با نیازهای خانواده هماهنگ شده و به کاهش تمرکز روی کودک و افزایش تمرکز روی خانواده منجر میشود [13].
بهعبارتدیگر، مداخله بهنگام به معنای یک نظام حمایتیآموزشی است که از ابتدای تولد یا از نخستین فرصت پس از شناسایی کودک دارای اختلالات رشدی، به کودک و خانوادهاش کمک میکند. مطالعات مختلف نشان دادهاند تأثیر مداخلات بهنگام شامل کاهش عوارض، صرف زمان کمتر، هزینه کمتر و بازده بیشتر است. این مداخلات همچنین به اصلاح هنجارهای عملکردی و کارکرد اجرایی کودکان کمک میکند [14].
مشخص شده است در والدین کودکان مبتلا به سندرم داون استفاده از برنامههای حمایتی و آموزشی مناسب و بهنگام، منجر به بهبود اعتمادبهنفس و توانایی مراقبت از کودکان میشود [15]. برای مثال، در مطالعات تورمیس و همکاران و فلامرزی و همکاران، تأثیر مداخلات بهنگام بر خانوادههای دارای کودک مبتلا به سندرم داون نشان داد والدین شرکتکننده در این مداخلات، درک بهتری از نقاط قوت و تواناییهای کودک خود پیدا کردند و نسبت به آینده خوشبینتر شدند [16، 17]. همچنین در مطالعه برایان و همکاران نشان داده شد آموزشهای والدمحور موجب بهبود استفاده والدین از استراتژیهای درمانی و کاهش استرس آنان شد [18].
با در نظر گرفتن این حقیقت که معلولیتهای کودکان منجر به خستگی والدین و بروز مشکلات روانی، مانند اضطراب، افسردگی، تنش در خانواده، نارضایتی زناشویی و مشکلاتی در روابط اجتماعی آنها میشود [19] و ازآنجاکه رشد کودکان ارتباط تنگاتنگی با سلامت جسمی و روانی والدین آنها دارد، استرس روانی والدین بر عملکرد آنان و به تبع آن، بر رشد کودکان تأثیر دارد. بنابراین واضح است که علاوه بر فرد بیمار، خانواده او نیز نیازمند توجه و مداخله است. از طرفی باتوجهبه افزایش شیوع اختلال سندرم داون و باتوجهبه مشکلات و چالشهای پیشرویِ خانوادهها، نیاز به مداخلات احساس میشود. این روشهای مداخلهای باید برای همه افراد قابلاستفاده، در دسترس و ارزان باشد. به نظر میرسد اگر آموزش مداخلات بهنگام ازطریق کتابچه صورت بگیرد، مقرونبهصرفهتر میباشد، اما تأثیر این نوع مداخلات بر ابعاد مختلف زندگی والدین، بهویژه سلامت روان و کیفیت زندگی آنان، در پژوهشهای مداخلهای با حجم نمونه مناسب و پیگیری بلندمدت و با ابزار پژوهشی استاندارد، کمتر بررسی شده است. بنابراین این تحقیق با هدف تأثیر مداخلات آموزشی بهنگام خانوادهمحور بر سلامت روانی و کیفیت زندگی مادران کودکان با سندرم داون انجام شد [20].
روشها
شرکتکنندگان
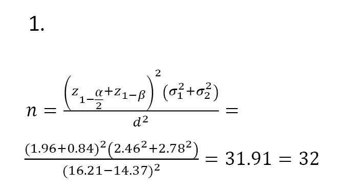
این مطالعه یک کارآزمایی بالینی تصادفیشده یکسوکور است که در تابستان سال 1401-1402 با مشارکت مادران مراجعهکننده به انجمن سندرم داون در اصفهان انجام شد. باتوجهبه مطالعه سالار فلامرزی (2001) که هدف آن بررسی تأثیر مداخله بهنگام بر سلامت روان مادران دارای فرزند مبتلا به سندرم داون بود، با انحرافمعیار 2/46 و 2/78 و میانگین 1/84، با در نظر گرفتن سطح اطمینان 95 درصد و توان 80 درصد، تعداد نمونه لازم برای هر گروه 32 نفر تعیین شد. باتوجهبه احتمال ریزش نمونهها، تعداد نمونه لازم برای هر گروه 35 نفر در نظر گرفته شد (
فرمول شماره 1) [21].
معیارهای ورود
1. مادران دارای فرزند مبتلا به تریزومی 21 (سندرم داون)؛ 2. سن کودک در محدوده 6 تا 72 ماهگی؛ 3. نگهداری کودک در منزل؛ 4. رضایتنامه آگاهانه مادران برای مشارکت در مطالعه؛ 5. کسب نمره بیشتر از 23 از پرسشنامه سلامت عمومی؛ 6. توانایی مادر در خواندن، درک مطالب و پاسخ دادن به سؤالات؛ 7. عدم وجود ناهنجاریها و مشکلات شدید پزشکی، ازجمله اختلالات ارتوپدی، تشنج، اختلالات تیروئیدی کنترلنشده، نقایص قلبی مادرزادی نیازمند جراحی، اختلالات شدید بینایی یا شنوایی یا سابقه عفونت نوزادی (مننژیت و آنسفالیت)؛ 8. عدم داشتن فرزند دیگری مبتلا به بیماری مزمن از جمله سندرم داون.
ملاکهای خروج
1. عدم حضور در یکی از 4 جلسه آموزشی؛ 2. ابتلا به بیماری روانی یا جسمی که نیازمند مصرف دارو یا مداخله جراحی در طول 3 ماه مداخله باشد؛ 3. عدم همکاری مادران در انجام تمرینات در بیش از 10درصد برنامه؛ 4. اختلال خانوادگی یا متارکه یا جدا شدن خانواده در طول مداخله.
پس از اخذ کد اخلاق از دانشگاه علوم توانبخشی و سلامت اجتماعی تهران، پژوهشگر با مراجعه به انجمن سندرم داون اصفهان و مرکز آسمان نیلی، مادران واجد شرایط را شناسایی و در لیست ثبتنام کرد. از لیست مذکور بهصورت تصادفی ساده و براساس جدول اعداد تصادفی، ابتدا 115 مادر انتخاب شدند و از آنها خواسته شد پرسشنامه سلامت عمومی را تکمیل کنند. سپس مادرانی که نمره بالاتر از 23 کسب کرده [22] و معیارهای ورود را داشتند، انتخاب شدند و پس از همسانسازی دوبهدو، ازنظر سن مادر، سن کودک، ساعات مراقبت و وضعیت اقتصادیاجتماعی، به 2 گروه 35 تایی شامل گروه آزمایش و گروه کنترل بهصورت تصادفی ساده، با پرتاب سکه، تقسیم شدند. بدینگونه که شیر در گروه آزمایش و خط در گروه کنترل قرار داده شد.
ابزارهای مطالعه
پرسشنامه سلامت عمومی
این پرسشنامه توسط گلدبرگ در سال 1997 طراحی شده است و برای غربالگری سلامت روان افراد استفاده میشود. این ابزار روایی و پایایی مناسبی در ایران دارد و برای شناسایی مشکلات روانی به کار میرود. در ایران ضرایب اعتبار این ابزار با استفاده از 3 روش بازآزمون، دونیمسازی و آلفای کرونباخ بهترتیب 0/70، 0/93 و 0/90 گزارش شده است. پرسشنامه 28 سؤالی از 4 خردهآزمون تشکیل شده که هرکدام از آنها دارای 7 سؤال است. خردهمقیاسها، شامل نشانههای جسمانی، اضطراب و بیخوابی، اختلال در کارکرد اجتماعی و افسردگی است. شیوه نمرهگذاری آن بهصورت لیکرت 4 گزینهای شامل اصلاً، درحد معمول، بیشتر از حد معمول و به مراتب بیشتر از حد معمول است. نمره کل یک فرد از صفر تا 84 متغیر خواهد بود و نمره کمتر، بیانگر بهداشت روانی بهتر است. همچنین بهترین نمره برش با استفاده از روش نمرهدهی لیکرت برای افراد موردمطالعه 23 به دست آمده است و پایینتر از آن نشاندهنده سلامت فرد است [23]. در این مطالعه نیز با امتیازگذاری به شیوه لیکرت، امتیاز 23 بهعنوان نقطه برش انتخاب شد. به گونهای که امتیاز نهایی برابر 23 یا بزرگتر از آن بیانگر وضعیت نامطلوب سلامت روانی فرد است.
مقیاس افسردگی، اضطراب و استرس
این مقیاس که توسط لاوی بوند در سال 1995 طراحی شده است، شامل 21 عبارت است که بهطور جداگانه علائم روانی، ازجمله افسردگی، اضطراب و استرس را ارزیابی میکند. روایی و اعتبار این پرسشنامه در ایران توسط سامانی و جوکار (2011) در جامعه آماری بزرگسالان مورد بررسی قرار گرفت که اعتبار بازآزمایی برای مقیاس افسردگی، اضطراب و استرس به ترتیب برابر 0/80، 0/76 و 0/77 و آلفای کرونباخ برای مقیاس افسردگی، اضطراب و استرس به ترتیب برابر 0/81، 0/74 و 0/78 گزارش شد [24].
پرسشنامه کیفیت زندگی
این پرسشنامه از 4 حیطه سلامت جسمانی، روانشناختی، روابط اجتماعی و محیط زندگی تشکیل شده است و وضعیت کلی کیفیت زندگی افراد را ارزیابی میکند. این پرسشنامه درمجموع 26 سؤال دارد و صورت لیکرت 5 تایی از 1 تا 5 شامل اصلاً، کم، متوسط، خیلی زیاد و بهشدت است. پس از انجام محاسبههای لازم در هر حیطه امتیازی معادل 4 تا 20 برای هر حیطه به تفکیک، به دست خواهد آمد که در آن 4 نشانه بدترین و 20 نشانه بهترین وضعیت حیطه موردنظر است. این پرسشنامه در ایران توسط نجات و همکاران (1385) برای 1167 نفر از مردم تهران اجرا و هنجاریابی شده است. شرکتکنندگان به 2 گروه دارای بیماری مزمن و غیرمزمن تقسیم شدند. پایایی آزمون بازآزمون برای زیرمقیاسها به این صورت به دست آمد: سلامت جسمی 0/77، سلامت روانی 0/77، روابط اجتماعی 0/75، سلامت محیط 0/84 (88). سازگاری درونی نیز با استفاده از آلفای کرونباخ محاسبه شد. مقادیر آلفای کرونباخ و شاخصهای مربوط به روایی سازه نیز حاکی از روایی قابلقبول این آزمون در جمعیت ایران بودند و سلامت جسمانی 0/77، سلامت روانی 0/77، روابط اجتماعی 0/75 و سلامت محیط 0/84 بوده است [25].
مداخله
محتوای آموزشی شامل کتابچهای 75 صفحهای بود. این محتوای آموزشی شامل یک پیشگفتار و 3 فصل است (کد شابک: 978-622-97050-7). در پیشگفتار کتابچه، به سندرم داون، نیازهای مراقبتی کودکان با سندرم داون و مشکلات والدین آنان، نحوه شناسایی توانمندیهای خانواده، چگونگی تصمیمگیری و نحوه تعیین اولویتهای خانواده، نحوه رشد آگاهی و سازگاری کلیه افراد خانواده و معرفی سیستمهای حمایتی، مداخلات بهنگام، تعریف و تأثیرات ناشی از آن پرداخته شده است. در فصل اول موضوع تعدیل حسی و اهمیت آن و مهارتهای برقراری ارتباط مناسب به همراه تمرینات موردنظر آورده شده است. فصل دوم در خصوص مهارتهای حرکتی درشت و ظریف و تمرینات مربوطه جهت بهبود این مهارتها است. فصل سوم به آموزش چگونگی استفاده از تواناییهای خود کودک و افزایش استقلال او در انجام مهارتهای روزمره زندگی پرداخته است. در
جدول شماره 1 فهرست مطالب هر فصل بهصورت مجزا آورده شده است.

نقطه قوت کتابچه ارائه تمرین موردنظر در قالب فعالیتهای روزمره زندگی است و همچنین سن مناسب کسب هر مهارت و تمرینات لازم برای هرکدام به ترتیب ذکر شده است. همچنین برای هر تمرین یک عکس طراحی شده است تا مادران بتوانند بهراحتی آن را در زندگی روزمره پیادهسازی کنند. برای اطلاع بیشتر از تمرینات و محتوای آنها، میتوان به کتاب با کد شابک 978-622-97050-7 مراجعه کرد [26]. یک نمونه تمرین برای بهبود حافظه دیداری در هنگام آشپزی در ادامه آورده شده است: «در زمان آشپزی: از کودک بخواهید به اشیا روی میز نگاه کند و سپس چشمان او را ببندید و یک وسیله را بردارید و از او بخواهید نام آن وسیله که دیگر روی میز نیست را بگوید».
در گروه آزمایش، 4 جلسه آموزشی 1 ساعته بهصورت فردی برگزار شد که در هر جلسه، فقط 1 فصل از کتابچه همراه با تکنیکهای آموزشی بهنگام و مداخلات عملی به مادران آموزش داده شد. سعی بر آن بود محتوای هر فصل برای مادر به علاوه تمرینها بهصورت کامل توضیح داده شود و برای اطمینان از یادگیری مادر چند تمرین در حضور درمانگر توسط مادر اجرا میشد. محتوای آموزشی مورداستفاده در این مطالعه باتوجهبه مشکلات مادران درزمینه آموزش و کودکان با سندرم داون در تمامی سطوح و ابعاد رشدی و با هدف کاهش اثرات ناشی از استرس در این مادران طراحی شده است. این محتوا باتوجهبه محدودیت زمانی مادران کودکان با سندرم داون نیازمند حداقل آموزش بود و بهصورت کمک به خود طراحی شده بود. هریک از مادران در طول این جلسات، نحوه پیادهسازی هر تمرین را بهصورت عملی یاد گرفتند و برای پیگیری مداوم، چکلیستهای هفتگی ارائه شد. این چکلیست توسط مادران تکمیل میشد. این چکلیست دارای روزهای هفته بود و همچنین مادران باید تاریخ هر روزی که تمرینات را انجام داده بودند یادداشت میکردند و فصلی از کتابچه که در آن روز برای تمرینات استفاده کرده بودند را در قسمت مربوط به خود، مشخص میکردند. همچنین اگر در هنگام اجرای تمرین با چالشی روبهرو بودند در قسمت توضیحات یادداشت میکردند و در هنگام تحویل چکلیست، آن را با محقق در میان میگذاشتند و درنهایت محقق چکلیست هفته بعدی را تحویل مادران میداد. پس از آموزشهای اولیه، مادران بهمدت 3 ماه تحت پیگیری قرار گرفتند. پیگیریها بهصورت هفتگی ازطریق تماس تلفنی انجام میشد تا در صورت بروز مشکلات، راهنماییهای لازم ارائه شود. همچنین شماره تماس پژوهشگر در اختیار مادران قرار گرفت تا در صورت نیاز به مشاوره بیشتر، در هر زمان با پژوهشگر تماس بگیرند. در برخی روزها، پژوهشگر در مرکز حضور داشت و به سؤالات احتمالی مادران پاسخ میداد. همچنین چکلیستهای انجام تمرینات بهصورت هفتگی جمعآوری میشد. متوسط زمان پیگیری افراد 97 روز بود. گروه کنترل هیچگونه آموزشی درزمینه مداخلات بهنگام دریافت نکردند و تنها درمانهای معمول خود شامل کاردرمانی، گفتاردرمانی و جلسات رفتاردرمانی را طبق برنامههای قبلی انجمن دریافت کردند. همچنین با همکاری انجمن، کلاسهای معمول کاردرمانی و گفتاردرمانی برای مادران گروه کنترل در روزهای فرد و گروه آزمایش در روزهای زوج برگزار میشد. پس از اتمام دوره مداخله، به تمامی شرکتکنندگان از گروه کنترل نیز نتایج مثبت مطالعه ارائه شد.
تجزیهوتحلیل دادهها
پس از اتمام دوره مداخله، دادهها ازطریق پرسشنامههای پسآزمون جمعآوری شد و پس از تعیین چگونگی توزیع دادهها با آزمون کولموگروف اسمیرنف، برای تجزیهوتحلیل دادهها از روشهای آمار توصیفی و استنباطی و آزمونهای آماری منویتنی و ویلکاکسون و مجذور کای در محیط نرمافزار آماری SPSS نسخه 21 استفاده شد.
یافتهها
70 مادر دارای کودک با سندرم داون با میانگین و انحرافمعیار سن 8/1±35/4 سال و کودکان با میانگین و انحرافمعیار سن (براساس ماه) 14/8±33/8 وارد مطالعه شدند. 91/9 درصد مادران با همسر خود و 8/1 درصد آنها بدون همسر زندگی میکردند. 76/6 درصد مادران خانهدار بودند. همچنین 44/4 درصد مادران دارای تحصیلات دیپلم و زیردیپلم بودند و 42/4 درصد درآمد بین 8 میلیون تا 12 میلیون تومان در ماه داشتند.
براساس آزمون مجذور کای و
جدول شماره 2، باتوجهبه مقدار احتمال بزرگتر از 0/05، 2 گروه کنترل و آزمایش ازنظر متغیرهای کیفی، تفاوت آماری معنیدار نداشتند.

براساس اطلاعات حاصل از
جدول شماره 3 و براساس آزمون منویتنی، 2 گروه آزمایش و کنترل ازنظر کیفیت زندگی و سلامت روان، پیش از مداخله اختلاف آماری معنیدار نداشتند (p>0/05).

براساس
جدول شماره 4 و آزمون ویلکاکسون، مداخله بهنگام آموزشی به تغییراتی در سطح کیفیت زندگی و سلامت روانی مادران منجر شد.

بهاینترتیب که حیطه سلامت جسمانی در گروه آزمایش (p=0/095) و در گروه کنترل (p=0/542) تغییر معنیداری پیدا نکرد. سلامت روانی در گروه آزمایش (p=0/002) بهتر شد، ولی در گروه کنترل (p=0/715) تغییر معنیداری نداشت. حیطه سلامت اجتماعی در گروه آزمایش (p=0/000) کاهش یافت و در گروه کنترل (p=0/256) تغییر معنیداری نداشت. حیطه سلامت محیط در گروه آزمایش (p=0/000) بیشتر شد، ولی در گروه کنترل (p=0/655) تغییر معنیداری نداشت. امتیاز کل کیفیت زندگی نیز در گروه آزمایش (p=0/001) ارتقا یافت، ولی در گروه کنترل (p=0/122) تغییر معنیداری پیدا نکرد.
ازنظر سلامت روانی نیز حیطه افسردگی در گروه آزمایش (از14/49±3/004 به 10/00±3/393) کاهش یافت (p=0/000) ولی در گروه کنترل (از 14/14±2/636 به 17/03±3/097) افزایش یافت (p=0/000). اضطراب نیز در گروه آزمایش (از 13/49±3/175 به10/41±2/709)کاهش یافت (p=0/000)، ولی در گروه کنترل (از13/97±2/673 به 16/91±2/720) افزایش یافت (p=0/000). استرس در گروه آزمایش (p=0/000)کمتر شد، ولی در گروه کنترل (p=0/65) تغییر معنیداری پیدا نکرد. در کل نیز سلامت روانی در گروه آزمایش (p=0/024) بهتر شد، ولی در گروه کنترل (p=0/386) تغییر معنیداری پیدا نکرد.
بحث
بر اساس نمره کل بهدستآمده، میتوان استنباط کرد سلامت روان مادران کودکان با سندرم داون، بهشدت آسیب دیده بود که این نتیجه همراستا با نتایج مطالعه اصغری مقدم و همکاران و چند مطالعه دیگر بود [26، 27] در تبیین این نتیجه میتوان گفت احتمالا والدین کودکان با کمتوانی یادگیری و سندرم داون، بهجای تمرکز بر مسائل بهبودبخش زندگی خود، بیشتر درگیر مشکلات مرتبط با فرزندشان هستند. این نگرانیها موجب غفلت از سلامت جسمی و روانی آنان میشود که میتواند به بروز بیماریهای روانی و جسمانی منجر شود. برخی از والدین نیز ممکن است احساس شرمندگی کرده یا ارتباطات اجتماعی خود را محدود کنند که هریک از این موارد موجب تشدید احساسات منفی و خشم پنهان در آنها میشود. درنتیجه این عوامل بر کیفیت زندگی والدین تأثیر منفی میگذارند [28].
مداخله آموزشی و روانشناختی بهنگام خانوادهمحور با تمرکز بر مادران، منجر به ارتقای کلی کیفیت زندگی مادران شد، اما بعد سلامت جسمی تغییر نکرد و بعد سلامت اجتماعی نیز کاهش یافت. همچنین سلامت روان مادران در هر سه حیطه افسردگی، استرس و اضطراب بهبود یافت.
در مقایسه با نتایج پژوهشهای پیشین، یافتههای کلی این مطالعه با نتایج پژوهشهای میلگرام و همکاران [30] و دربانی و پارساکیا [19] همراستا است. این پژوهشها نشان دادهاند آموزشهای خانوادهمحور منجر به بهبود استراتژیهای درمانی، کاهش تعارضات مادر ـ فرزند و افزایش استدلال والدین و درنهایت افزایش سلامت روان و کیفیت زندگی میشود [19، 29]. همچنین پژوهش واکیمزا و فوجیکا نشان داد توانمندسازی خانوادهها ارتباط معناداری با افزایش کیفیت زندگی دارد [30].
نتایج این تحقیق نشان داد مداخله بهنگام خانوادهمحور، موجب ارتقای کیفیت زندگی مادران در ابعاد روانی و محیطی شد. هرچند در بعد جسمانی تغییرات معناداری مشاهده نشدکه در تبیین آن میتوان به مدت پیگیری کوتاه و لزوم بررسی اختصاصی و یا سیر بالینی مشکلات جسمی اشاره کرد. از طرفی میتوان گفت کاهش نشانههای جسمی مادران، بیشتر مستلزم تمرکز بر مهارتهای شناختی و رفتاری، مانند آموزش مهارت مدیریت استرس، آموزش مهارت مدیریت خشم، حل مسئله و غیره است که در مداخلات بهنگام، صرفاً تمرکز بر حیطه مهارت آموزی نیست [31].
در بررسی ابعاد جسمی، 21/2 درصد از مادران شرکتکننده در مطالعه، دارای بیماریهای مزمن بودند. همچنین میانگین سن مادران شرکتکننده 35/4 سال بود و وضعیت اقتصادیاجتماعی اغلب خانوارها نابسامان بود که این عوامل ممکن است در بروز مشکلات جسمی یا تشدید آن مؤثر باشد [32].
حمایت از خانوادهها و تفهیم این امر که آنها با مشکلاتشان تنها نیستند، از فشار روانی مادران میکاهد [33، 34]. به همین دلیل مداخله بهنگام، اغلب حمایت عاطفی، اجتماعی و اطلاعاتی را برای خانوادهها فراهم میکند و این حمایتها باعث کاهش اضطراب مادر میشود [35]. همچنین مشاوره گروهی و تماس با مادرانی که در وضعیت مشابهی قرار دارند، نگرش مادران به زندگی، به فرد دارای کمتوانی و به افراد و محیط اطرافشان را به سمت مثبتگرایی تغییر میدهد، عزت نفسشان را افزایش میدهد و از این طریق باعث کاهش اضطراب آنان میشود [36]. در برنامه مداخله بهنگام، امید میرود مادران با روشهای گوناگون دریافت حمایت آشنا شوند، تجاربشان را با هم سهیم شوند و یاد بگیرند در زمینههای گوناگون از همدیگر حمایت کنند و این موضوعات، درنهایت منجر به احساس انزوای کمتر و کارکرد اجتماعی بالاتر شود [37].
در این مطالعه کیفیت زندگی در بعد سلامت اجتماعی کاهش داشته است. در بعد اجتماعی کیفیت زندگی، بیشتر روابط شخصی و اجتماعی و روابط زناشویی مورد توجه قرار میگیرد. مادران کودکان با سندرم داون، احساس رضایت زناشویی، بیان محبت، سازگاری و انسجام خانوادگی کمتری نسبت به مادران کودکان عادی دارند [38]. نتایج پژوهش نجات و همکاران که به بررسی ادراک و احساسات مادران دارای کودکان با سندرم داون پرداختهاند، هم نشان داد کودکان با سندرم داون بیشتر وقت خود را با مادران خود صرف میکنند و این رضایت زناشویی و بیان محبت زوجین را محدودتر میکند و آنها معتقد هستند معمولاً در خانوادههای دارای کودک با سندرم داون عواملی، مانند خواستههای خانواده، منابع خانواده و حل مشکلهای ارتباطی در خانواده نیاز به مداخلات متعدد و همزمان دارد [39]. بنابراین نباید انتظار داشت صرفاً مداخله بهنگام، همه ابعاد کیفیت زندگی را ارتقا دهد. از سوی دیگر، گروه هدف اصلی در این پژوهش، مادران بودهاند و کمتر به وضعیت پدران و سایر اعضای خانواده توجه شده است که این موضوع نیز منجر تغییر در دیدگاه مادران شده است. درحالیکه به انتظارات و دیدگاه پدران کمتر توجه شده است و همین موضوع نیز شاید توجیهکننده افت کیفیت زندگی در بعد سلامت اجتماعی باشد. از طرفی نابسامانی اقتصادی و محدودیتهای مالی میتواند بر اثربخشی برنامههای مداخلهای، بهویژه بر حیطه اجتماعی آن، تأثیر بگذارد. این موضوع نشاندهنده ضرورت توجه به شرایط اجتماعی و اقتصادی در طراحی برنامههای آموزشی است [40].
نتایج فرعی این مطالعه نشان داد مداخله بهنگام خانوادهمحور در 4 جلسه حضوری منجر به ارتقای کیفیت زندگی و سلامت روان میشود. درحالیکه در مطالعه فلاحی و همکاران، مداخله توانمندسازی در 10 جلسه آموزشی توصیه شده است؛ بنابراین میتوان گفت روش آموزش انفرادی بهنگام و خانوادهمحور، با استفاده از کتابچههای آموزشی، علاوه بر کاهش هزینه و زمان، میتواند به ارتقای سلامت روان و کیفیت زندگی مادران کمک کند [41]. درنهایت به نظر میرسد اثربخشی مطالعه حاضر ناشی از تناسب محتوای آموزشی با مشکلات خاص مادران و تمرکز بر توانمندی و نقاط قوت خانوادهها و همچنین معرفی روشهای حمایت اجتماعی در سطوح مختلف بوده است. پیگیریهای تلفنی و جلسات حضوری نیز انگیزه مادران را برای انجام مداخلات و تبدیل آن به روش متداول در زندگی روزمره افزایش داده است. این رویکرد ممکن است بهعنوان یک مدل اثربخش برای سایر گروههای هدف نیز قابلستفاده باشد.
نتیجهگیری
نتایج پژوهش حاضر نشان میدهد مداخلات آموزشی بهنگام احتمالا میتواند برکیفیت زندگی، بهویژه در ابعاد روانی و محیطی و سلامت روان، در هر سه بعد افسردگی، اضطراب و استرس در مادران دارای کودکان با سندرم داون مؤثر باشد، اما ارتقای بعد جسمانی و اجتماعی کیفیت زندگی، تداوم بیشتر این مداخله یا مداخلات دیگر و گاه همزمان چند نوع مداخله، نظیر مداخلات روانشناختی، مداخلات رفتاردرمانی و مداخلات حل مشکل دارد. بنابراین پیشنهاد میشود در پژوهشهای آتی، از تکنیکهای مهارتمحور و تکنیکهای حل مسئله، نیز استفاده و اثربخشی آنها مقایسه شود. همچنین کتابچههای آموزشی برای سایر اختلالات کودکان و خانوادههایشان براساس مشکلاتشان تدوین شود. آموزش این روشها برای مراقبان کودکان با سندرم داون در سایر مراکز از قبیل کلینیکها، مراکز نگهداری شبانهروزی، بهزیستی و مراکز جسمیحرکتی و ذهنی توصیه میشود.
ملاحظات اخلاقی
پیروی از اصول اخلاق پژوهش
این مطالعه در کمیته اخلاق دانشگاه علوم توانبخشی و سلامت اجتماعی با کد اخلاق (IR.USWR.REC.1396.308) تأیید شده است و در مرکز ثبت کارآزمایی بالینی ایران با کد (IRCT20181117041673N1) ثبت شده است. در این مطالعه از تمامی شرکتکنندگان رضایت کتبی اخذ شد و در آن بهصورت کامل روند اجرای پژوهش توضیح داده شد.
حامی مالی
این پژوهش هیچگونه کمک مالی از سازمانیهای دولتی، خصوصی و غیرانتفاعی دریافت نکرده است.
مشارکت نویسندگان
مفهومسازی: سحر صادقی و هوشنگ میرزایی؛ روششناسی: بهمن صادقی و سعید فطورهچی؛ اعتبارسنجی: زهرا قیومی؛ منابع: سحرصادقی، بهمن صادقی؛ نگارش پیشنویس، ویراستاری و نهاییسازی نوشته: بهمن صادقی، بصریسازی، نظارت، مدیریت پروژه: هوشنگ میرزایی.
تعارض منافع
بنابر اظهار نویسندگان این مقاله تعارض منافع ندارد.
تشکر و قدردانی
نویسندگان از همکاری و حمایت کارکنان و مدیریت مرکز سندرم داون آسمان نیلی اصفهان تشکر میکنند.